глава3. электрический заряд и магнитная сила
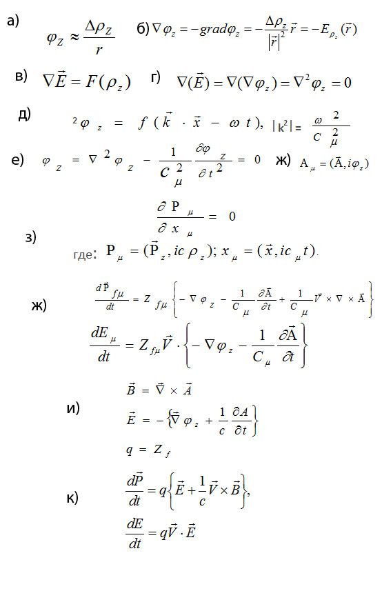
Функция, производная от Фиz по координатным направлениям (рис.б))
определяет напряженность Ерz(r),создаваемую исходным зарядом в точках, окружающего его пространства.
Поэтому функция, производная от Ерz(r)по координатным направлениям, характеризует величину плотности других зарядов топогеометрического возбуждения(рис.в))
В силу последнего, функция Фиz(r) в пространстве, где нет других зарядов, удовлетворяет широко известному уравнению Лапласа (рис.г)).
Решение уравнения Лапласа определяет статическую картину распределения поля воздействий Фиz(r) в пределах масштабного слоя, в котором собственно расположен и полностью проявлен заряд.
В смежных заряду глубинных масштабных слоя, уравнение Лапласа описывает поле уже не самого заряда, а его менее проявленных «двойников» - его системных образов, информациогенных фантомов, состоящих из микро-, ультрамикро- и т.д. – компактов.
Пространственное распределение степени проявленности информации об объекте (“плотность реализованности” объекта) в каждом n-j глубинном слое может быть оценена зависимостями, аналогичными известным законам распределения плотности вероятности,
В частности - аналогично нормальному распределению Гаусса.
Если в собственном масштабном слое n0 объект полностью проявлен, имеет четкую пространственную локализацию и хорошо отличим от других объектов, то уже на глубине трех – четырех масштабных слоев индивидуализация, различимость и пространственная локализация практически обращаются в нуль – остается лишь некоторый информационный фон, в котором присутствуют все объекты, но в нелокализованном состоянии.
Своего рода физико-семантический аналог слоя анаксагоровых гомеомерий - “семян всех вещей”
Нам необходимо учесть изменения поля, связанные и с динамическим процессом не прерывающегося взаимоотображения “полувселенных”, реализующим ход глобального времени.
Поскольку в каждом масштабном слое m существует характерная предельная скорость Сm,, постольку к его пространственным координатам, для учета хронодинамического процесса переотображений, в первом, весьма грубом приближении, может быть добавлена, условная времениподобная координата - iСmt, а уравнение Лапласа заменено на уравнение де’Аламбера (рис. д)).
Как известно, это уравнение свободного поля имеет решение типа волны с предельной скоростью См.
Но тогда необходимо ввести понятие уже не о скалярном ФиZ(r), а о векторном потенциале (рис.е)).
Ранее упомянутый механизм “концентрационной диффузии" исключает всякую возможность скачкообразного исчезновения заряда. Возможно лишь непрерывное истечение, а это значит, что выполняется закон сохранения заряда zf, который можно выразить уравнением непрерывности (рис. ж)).
Выделив из этого уравнения пространственно- и времениподобные компоненты, получим систему уравнений, представленную на (рис.з)).
Третий член в скобках первого уравнения, содержит векторное произведение, которое дает силу, направленную под прямым углом к скорости и не изменяющую энергию заряда.
Это наводит на мысль о сопоставимости этого взаимодействия с магнитным взаимодействием движущегося электрического заряда.
Если теперь ввести определения, приведенные на (рис. и)),
то мы приходим к известным уравнениям Максвелла для электрического поля (рис.к)).
Мы впервые нашли объяснение, как природе электрического заряда - это информациогенный сгусток топогеометрического возбуждения, так и природе магнитной силы - это взаимодействие заряда, пребывающего и движущегося в данной “полувселенной”, со своим тождественным двойником, пребывающим во второй “полувселенной”.
Здесь четко проявляется глубокая взаимосвязь пространства и хронодинамических процессов, т.е. – времени.
Получен удивительный результат: естественным логическим следствием реализации фундаментального динамического атрибута, присущего омостантону - способности к самоотображению, явилось возникновение континуального поля волн топодинамического возбуждения, заполняющего всю Глобальную Вселенную всюду плотным образом, эквивалентного электромагнитному полю без точечных источников [ 6,9, 17,19, 20 ].
Полученные результаты относятся к пространству множества микрокомпактов «в большом», которое можно представить, как квазиевклидово.
В областях же малых групп микрокомпактов пространство дискретно и процессы - принципиально иные.
Свидетельство о публикации №210112901359
