34- формула света
34- «ФОРМУЛА СВЕТА».
Vasily Yanchilin
17 октября в 22:25
Опять двойка!
В рамках ньютоновской теории гравитации возможно появление так называемых «тёмных звёзд» – массивных объектов, на поверхности которых вторая космическая скорость равна скорости света. Если считать, что скорость света постоянная, то свет не сможет вылететь из поля притяжения таких объектов. Ему не хватит на это энергии.
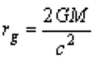
И вот что интересно. Гравитационный радиус таких объектов, рассчитанный по формулам ньютоновской теории гравитации, СОВПАДАЕТ с радиусом чёрной дыры, рассчитанной по формулам ОТО.
В некоторых книгах по ОТО эта особенность отмечается. При этом говорится, что расчёт по формулам ньютоновской теории ошибочен, так как в ней формула для энергии фотона: «эм цэ в квадрате пополам». А надо без «пополам».
Если есть ошибка в расчётах, то результат будет неверным. А результат верный. Значит, есть ещё, как минимум, одна ошибка. Какая? Специалисты по ОТО этого НЕ ЗНАЮТ. Почему я в этом уверен? Потому что, если бы знали, то ОБЯЗАТЕЛЬНО написали бы о ней. Но молчок.
Итак, вопрос: что за неизвестная ошибка в теории Ньютона, которая компенсирует известную таким образом, что «помогает» получить правильную величину для радиуса чёрной дыры?
Свидетельство о публикации №215101800564
