Политики приходят и уходят, Россия остаётся
Вообще, насколько мне представляется, тема эта достаточно сложная и чаще всего сугубо субъективная. Всякие личные истории, особенно драматические, не годятся никак. Тем более, не годятся высказывания политиков и прочих ангажированных лиц, обязанных говорить то, что надо, а не то, что есть. Может быть опросы? На мой взгляд, тоже не очень, так как все агентства не менее ангажированы и выполняют всегда политический заказ, зачастую пряча ответ за хитрой формулировкой вопроса. Остаётся логика больших чисел, усредняющая многие нюансы и показывающая превалирующие тренды.
Можно, к примеру, попробовать взять исследования в интернете, однако здесь разброс очень большой. Тот же Яндекс уверенно ставит по упоминаниям Россию на 1-е место, отмечая суммарное количество запросов о ней, превышающее все остальные страны вместе взятые. Это и понятно, ведь поисковик изначально российский, а значит и пользователь преимущественно россиянин. Так что, любые поисковики — это плохой критерий.
Тогда посмотрим, что говорят об этом мировые СМИ.
Согласно не очень свежего исследования Коммерсант.ru от января 2015 г. (более свежего, к сожалению, не нашёл), доля упоминаний России в мировых СМИ составляет 1,41% во всех разделах:
- экономика и бизнес;
- политика и международные отношения;
- культура и спорт;
- другие.
На тот момент это было больше, чем у США (1,01%), чуть меньше, чем у Германии (2,09%) и существенно меньше, чем у Ирана (9,92%). Можно предположить, что в 2016-2017 годах доля России могла вырасти существенно по целому ряду причин, которые можно даже не упоминать, причём, скорее всего, с негативным оттенком. Однако предполагать я не буду, лишь отмечу: Россия в мировых СМИ в любом случае занимает место, непропорционально большое относительно, например, объёма своей экономики, зато, скорее всего, пропорционально своему военно-дипломатическому и политическому влиянию.
Таким образом, с первой частью вопроса мы, более менее, определились, остаётся вторая, она же главная и самая сложная: как в мире относятся к России? Здесь вынужден повториться: никакие личные истории, мнения, интервью, опросы и пр. и пр., даже самые авторитетные, как внешние, так и внутрироссийские, не годятся по определению. Привлекательность или непривлекательность страны от этого могут страдать или расти, причём волнообразно и, зачастую, одномоментно, ничуть не затрагивая основы. Основы, которые незыблемы, крайне инерционны и очень невосприимчивы к сиюминутным оценкам и мнениям, хотя и могут оказывать некоторое влияние на результат.
Кстати, о результате, который во все времена является общепринятым критерием истины. Так или иначе, я не могу предложить ничего лучшего, чем критерий миграционного баланса, наиболее точно, на мой взгляд, отвечающий на поставленный вопрос: как? Как люди относятся к России, бегут ли из неё сломя голову, или также сломя голову едут в Россию на п.м.ж.?
Берём, к примеру, доклад «Эмиграция из России в конце 20 - начале 21 века», подготовленный Комитетом гражданских инициатив Алексея Кудрина (по материалам газеты Ведомости от 06.10.16.):
- из России уезжает в разы больше людей, чем учитывает статистика,
- эмиграция из России приобретает опасный характер,
- узнать точное число уехавших не представляется возможным,
- чаще всего на Запад уезжают ученые, студенты, предприниматели, постепенно растет прослойка рантье, которая вывозит денежные активы и живет на дивиденды,
- уезжает элита и ученые, но многие это делают тихо, не снимаясь с учета в МВД, и для российской статистики остаются неучтенными,
- узнать точное число уехавших не представляется возможным,
- среди причин, подталкивающих к отъезду, - нестабильные экономические условия ведения бизнеса, отсутствие конкуренции, коррумпированность, возрастающие риски личной и предпринимательской безопасности, низкие бюджетные расходы на науку и образование, низкая зарплата,
- минимум выехавших был в 2009 г., в 2014 г. примерно подбирается к уровню 1995 г.,
- по оценкам Росстата, Россию с 1989 по 2015 г. покинули около 4,5 млн человек.
- по нашим данным, порядка 120 000-150 000 человек уезжают ежегодно с 2013 г., и т. д.
Запоминаем последние три тезиса и двигаемся дальше.
Итак, эксперты Кудрина паникуют, не верят официальной статистике и заявляют, что российская эмиграция грозит стране скорыми демографическими проблемами, а также понижением интеллектуального уровня оставшегося населения. При этом, к сожалению, данные господа почему то оперируют крайне приблизительными цифрами и размытыми формулировками, насыщенными деланным пафосом, выставляющим Россию в исключительно негативном свете.
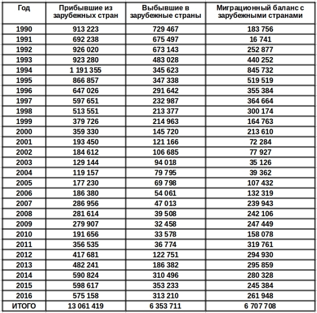
А как обстоят дела на самом деле? Чтобы ответить на вопрос, вновь, как и год назад обратимся к данным ФСГС (Федеральная служба государственной статистики - где можно достаточно легко получить полную информацию не только по выехавшим эмигрантам, но и по въехавшим в Россию мигрантам за период 1990-2016 г.г. При этом, обращаю внимание, что на поверку оценки и обобщения кудринских экспертов (три последних тезиса) либо совпадают — минимум выехавших действительно был в 2009 году, либо значительно превышают их же панические цифры — с 1990 по 2015 г.г. выехало почти 6,5 млн. чел., а с 2013 по 2016 г.г. уезжают в среднем не 120-150 тыс., а 200-300 тыс. человек. То есть, ФСГС намного более тщательно подходит к данным по миграционным потокам и цифрам этого ведомства, пожалуй, следует доверять, из чего следует вывод: громкие заявления Кудрина & Co, на поверку ничего не стоят, ни о чём не говорят, и нигде и никогда не должны приниматься в качестве экспертного мнения. А раз мы обнаружили такую постыдную небрежность к цифрам, то вполне имеем право распространить аналогичную оценку и на утверждения об интеллектуальном уровне эмигрантов.
Однако не следует ли из сказанного, что ситуация ещё хуже, чем представляется Кудрину? В некотором смысле, следует, но лишь гипотетически. Ведь есть ещё данные о въехавших в Россию за тот же период, которые как раз и говорят о том, что Россия давно и прочно является одной из самых привлекательных стран мира, по праву занимая 2-е место после США: к нам едут на постоянное место жительства значительно больше людей, чем выезжает (см. таблицу).
Так что, не вижу никаких причин для паники, а просто предлагаю на попытки красочно расписать вам мытарства в России многодетной немецкой семьи Мартенс, вынужденных вернуться домой, не менее красочно доложить об успехах их земляка Штефана Дюрра, приехавшего к нам ещё студентом и умудрившегося стать самым крупным производителем молока в России — в стране, по словам кудринских экспертов, где «нестабильные экономические условия ведения бизнеса, отсутствие конкуренции, коррумпированность, возрастающие риски личной и предпринимательской безопасности, низкие бюджетные расходы на науку и образование, низкая зарплата...».
Впрочем, ни то ни другое не имеют решительно никакого значения и никак не влияют на конечный результат, имеющий гораздо более фундаментальные основы, на которые даже кризисы оказывают крайне незначительное влияние.
Политики и кризисы приходят и уходят, Россия остаётся.
Свидетельство о публикации №218020101189
