19 rus простой гитарный аккомпанемент. 19 ingl a s

19 rus_ПРОСТОЙ ГИТАРНЫЙ АККОМПАНЕМЕНТ.




















19 ingl_ A SIMPLE GUITAR ACCOMPANIMENT. 
IT IS A LITTLE the THEORY. LET'S BEGIN TO UNDERSTAND RIDDLES ГИТАРЫ_GUITARS PLIERS_2.
It seems it is not necessary to hope in game for hearing only on Hearing! The melody on a guitar All таки is selected for the rather rigid laws and, knowing them it is rather not complex(not difficult) to pick up melodies to songs in the initial period. I advise to begin from the book Манилов- " TO PLAY And TO ACCOMPANY ON a GUITAR ". It is the guitar self-teacher, but стилистически of a subject are given similarly, how I do(make) it and in which degree I simply Make comments this book, inserting musical fragments as songs.
On this page in Конспектной the material is given to the form, that in that book goes approximately up to 30 pages.
STRUCTURE of THAT BOOK.
Манилова, it is natural. She(it) is constructed as Dialogues with the boy eighth approximately of class, and the author gives it(him) the comments on all questions, that are necessary to the beginning guitar player, and that pass not less than for 3 - 5 years in musical schools. But All Good can be processed! And I make comments....
CHORDS.
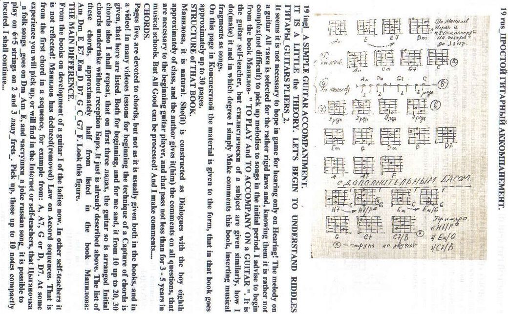
Pages five, are devoted to chords, but not as it is usually given both in the books, and in a video! In many videoes lessons for beginning the technique of a Capture of chords is given, that here are listed. Both for beginning, and for me and, it from 10 up to 20, 30 chords also I shall repeat, that on first three ладах, the guitar so is arranged Initial chords undertake without reception Барэ. It just is already described above. The list of these chords, approximately half from listed in the book autor Манилова: Am_Dm_E_E7_Em_D_D7_G_C_G7_F. Look this figure.
THE MAIN DIFFERENCE.
From the books on development of a guitar I of the ladies now. In other self-teachers it is not reflected! Autor Манилов has deduced(removed) Law on Accord sequences. That is from the first chord in a sequence, for example from: A, A7, G or D, D7. At some experience you will pick up, or will find in the Internet or self-teachers, that Цыганочка _a folk songs _goes on Dm_Am_E, and частушки_a joke russian song_ it is possible to
play on 6+5 strings on 2 and 3 ладу_frets_. Pick up, these up to 10 notes compactly located. I shall continue...


Рецензии