Все двигаются со скоростью света! Популярная физик
Справедливости ради, надо сказать, что в рамках технической физики, когда и теория Ньютона-то толком не нарушается, это неверно: она постоянна.
Но есть одна загвоздка. В старой и мудрой пословице - "Никогда не говори никогда". Никогда скорость света не изменяется. Люди интуитивно чувствуют что здесь что-то не так, и даже учёные по-прежнему ищут лазейки, где же она всё-таки не постоянна.
Все эти дурацкие мифы, о том что физики-теоретики обкуриваются предшествующими теориями и не хотят ничего в красивой теории менять - блеф народных идиотов.
Теоретики - особенно на Западе - представляют собой стаю голодных волков, жадно щёлкающих зубами, которым только дай прославиться и заработать на этом денег.
Вы не найдёте более беспринципного человека, готового в течение 1 часа поменять все свои принципы, нежели современный физик-теоретик. Правда, беспринципность их распространяется только на принципы физики. Далее у кого как.
Но сейчас я не об этом. Я просто хочу показать тот забавный случай что величина скорости ЛЮБОГО ТЕЛА, А НЕ ТОЛЬКО СВЕТА ПОСТОЯННА И РАВНА СКОРОСТИ СВЕТА. ВОТ ТАК И НИКАК ИНАЧЕ! Правда, только для ПОСТОЯННОЙ КОМПОНЕНТЫ ПРОСТРАНСТВЕННОЙ СКОРОСТИ. У РЕЛЯТИВИСТСКОЙ СКОРОСТИ ЕСТЬ ДОПОЛНИТЕЛЬНО ВРЕМЕННАЯ КОМПОНЕНТА.
Сначала отметим тут простую вещь, что скорость света в релятивистской механике определяется иначе. Время в разных системах отсчёта разное - доказано опытами Хафеля-Киттинга и Шапиро! - и дифференцировать координату по не инварианту не имеет смысла. Кроме того любой 4-мерный вектор в теории относительности имеет временную компоненту. И нулевая компонента скорости должна быть производная времени по инварианту. Если это производная времени по времени, то она постоянна.
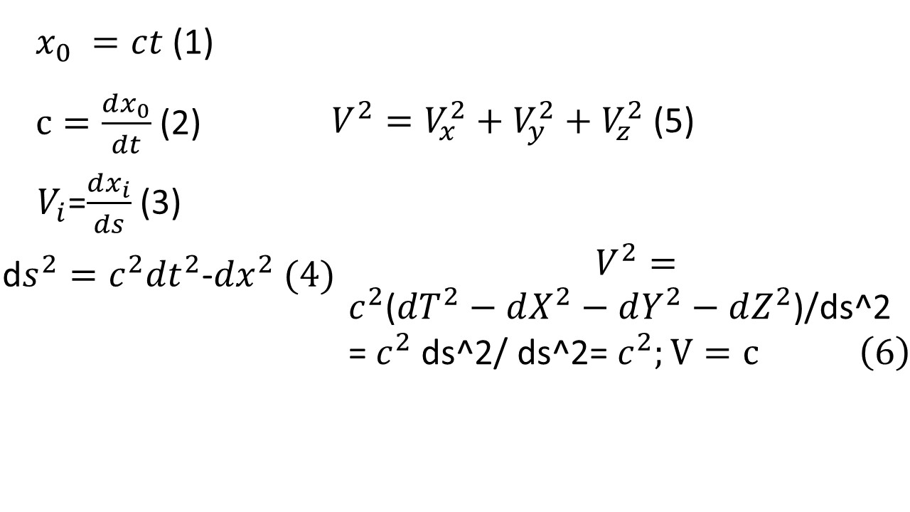
И если мы будем воспринимать координату времени как время умноженное на скорость света x0=c*t (1) (таково математическое определение координаты временив физике! тут никакой физики нет пока что!), производная постоянна и равно скорости света dx0/dt=c (2).
Но по времени производную брать нельзя - это мы обсуждали.
Дифференцируют по инварианту теории относительности - для специальной и общей теории относительности они разные! Я напишу пока для специальной теории относительности. Для теории гравитации это не годится: V(i)=c*dX(i)/ds (3),
ds^2=c^2*t^2-dX^2 (4). c- скорость света
Давайте теперь посчитаем величину скорости. Она не считается как в теории Ньютона:
V^2=Vx^2+Vy^2+Vz^2 (5).
Здесь всё будет иначе.
=c^2*((dT^2-dX^2-dY^2-dZ^2)/ds^2)=c^2*ds^2/ds^2=c^2 (6).
Вот так!
У любого тела скорость равна скорости света.
Обратите внимаение на две вещи.
1. Время становится координатой.
2. Величина метрики не Эвклидова, а Лобачевского.
Эвклид - V=Sqrt(sum(i)[V(i)^2]).
Лобачевский и Риман V=Sqrt(sum(i,j)[g(i,j)*V(j)^2]).
Для Лобачевского g(i,i)=1, остальные g(i,j)=0
g(i,j) называются метрикой.
Так что все тела двигаются со скоростью света. Хитрость тут заключается в том что время тоже координата и что метрика тут не Эвклидова, а Лобачевского - для специальной теории относительности и Римана для общей.
Изложение этого материала можно найти в более сжатом виде в курсе теоретической физике Ландау, том2, "Теория поля", часть 1.
Домашнее задание для любопытствующих - какова метрика для Эвклида. Я её не написал.
[Метрика Эвклида g(1,1)=g(2,2)=g(3,3)=-1 (или 1). Остальные компоненты 0.]
Очень хорошо видно что не только свет распространяется со скоростью ПО МОДУЛЮ 300000 километров в секунду. ЛЮБОЕ ТЕЛО. ЕСЛИ СКОРОСТЬ - РЕЛЯТИВИСТСКАЯ.
Если ньютоновская - то нет.
Формулы вставлены. Но я задаю себе вопрос - а для кого я стараюсь, если народ на форуме заражён антиинтеллектуализмом. Разве ради зуда училки физики.
Свидетельство о публикации №225082600947
