6 Эквивалентность энергии массе
Эйнштейном формула в окончательном виде была выведена в 1907г. Некоторые его варианты её вывода опираются только на его же теорию относительности от 1905г, что придаёт ей бо;льшую универсальность. Но суть связи энергии и массы в любом случае оставалась необъясненной.
Однако, именно из лоренцевой эфирной гипотезы логически вытекает естественное объяснение связи энергии и массы. Как было доказано в статье "Материалистические причины сокращения Лоренца в ТО", и как всем известно из СТО, тела при ускорении и увеличении их кинетической энергии сжимаются, что не может не сказываться на состоянии, согласно гипотезе Лоренца, эфирной среды.
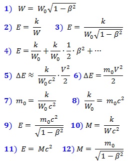
Формула (1), см. картинку, описывает степень сжатия объёма эфира W в зависимости от скорости тела, где Бета = V/c. Резонно предположить, что работа силы по ускорению тела переходит в энергию сжатия эфира, занимаемого этим телом.
Предположим, что энергия эфира пропорциональна степени его сжатия. То есть, во сколько раз удастся уменьшить занимаемый телом объём эфира, во столько же раз возрастёт и его энергия. Конечно, это соотношение должно иметь физические границы применимости, но, скажем так, пока они экспериментально не обнаружены.
Тогда энергию эфира E от степени его сжатия можно описать формулами (2) и, соответственно, (3), где k некий коэффициент. Разложим (3) в ряд Тейлора (4) и выразим приращение энергии (5) в 1-м приближении.
Сравним её при малых скоростях с классическим выражением (6).
Массу покоя (при покоящемся теле) выразим в (7), а соответствующую энергию покоя в (8). Подставив (8) в (3), выразим полную энергию тела в (9).
По аналогии с (7), обозначим полную релятивистскую массу выражением (10) и, подставив его в (2), получим знаменитое выражение (11), связывающее массу и энергию.
Заменив в (11) E на (9), получим формулу для релятивистской массы (12).
Далее: http://proza.ru/2024/09/27/723
Свидетельство о публикации №224092401082
